بخش سوم رازهای تریدینگ: پیروزی در بازارهای نزولی ارزهای دیجیتال
این مقاله بخش سوم از گنجینه ارزشمند دنیل جفریس، تریدر مطرح است که برای علاقهمندان به خرید و فروش ارزهای دیجیتال ترجمه گردیده است. مقالههای رازهای تریدینگ ارزهای دیجیتال و ۷ اشتباه مرگبار در ترید ارزهای دیجیتال، به ترتیب بخشهای اول و دوم این مجموعه هستند.
هر نوع تجارت مبتنی بر خریدوفروش، نوعی شرطبندی است. برخی افراد از پذیرش این مسأله سرباز میزنند، اما این چیزی را تغییر نمیدهد.
در دنیایی زندگی میکنیم که تجارت مبتنی بر خریدوفروش در قالب بازارهای بزرگ سهام صورت میگیرد و این اقدام «سرمایهگذاری» نام گرفته است.
سرمایهگذاران «واقعی» نظیر وارن بافت، نگاهی تحقیرآمیز به بازارهای پرنوسانتری نظیر بازار مشتقات یا بازار ارزهای دیجیتال دارند. بیتردید حق با وارن بافت است! بازار سهام نیویورک هیچ شباهتی با خریدوفروش بیت کوین در پولونیکس (صرافی ارزهای دیجیتال) و یا انجام یک بازی شرطبندی در لاسوگاس ندارد.
بیشتر بخوانید: ۲۳ اصل سرمایه گذاری وارن بافت و دیگر نابغه های سرمایه گذاری
بازارهای سهام، نقدشوندگی بالایی دارند، افراد زیادی در آن فعالیت دارند و به شکل منظم گزارشهای سه ماهه را در دسترس عموم قرار میدهند. به همین دلیل اینگونه برداشت میشود که بازار سهام کاملا با بازار خرید و فروش بیت کوین یا شرطبندی متفاوت است. اما آیا واقعا با چنین تفاوتی روبهرو هستیم؟
وبسایت اینوستوپدیا (Investopedia) سعی میکند تفاوت میان شرطبندی و سرمایهگذاری را در ذهن مخاطب پررنگتر کند. در مطلبی در این وبسایت میخوانیم:
شرطبندی یک بازی با مجموع صفر است. در شرطبندی، فقط مقداری پول از جیب بازنده به جیب برنده میرود. بنابراین هیچ ارزشی در این میان تولید نمیشود. اما با سرمایهگذاری، ثروت کلی اقتصاد افزایش مییابد. رقابت شرکتها با یکدیگر موجب افزایش بهرهوری و توسعهی محصولاتی میشود که میتوانند زندگیمان را بهتر کنند. نباید سرمایهگذاری و خلق ثروت را با شرطبندی که در واقع یک بازی با مجموع صفر است یکسان دانست.
این تفاوت به زیبایی شرح داده شده است، اما کاملا اشتباه است!
بازارهای سهام نیز نوعی بازی با مجموع صفر هستند. وقتی برنده میشوید، فردی دیگر بازنده میشود. وقتی بازنده میشوید، فردی دیگر برنده میشود. این الگو در تمام بازارهایی که مردم درآن خرید و فروش میکنند، دیده میشود.
اینکه میگوییم با سرمایهگذاری در بازار سهام در واقع به سلامت کلی اقتصاد کمک میکنیم، حس خوبی به ما میدهد. تردیدی نیست که سرمایهگذاری در پروژهها و شرکتهای مختلف نوعی ارزش اجتماعی ایجاد میکند (چیزی که در قمار هرگز اتفاق نمیافتد). اما این موضوع اصل ماجرا را تغییر نمیدهد:
هیچ کسی برای داشتن حس خوب یا کمک به رشد اقتصادی پولش را در بازار سرمایهگذاری نمیکند. هدف از این کار، فقط کسب سود و به دست آوردن دارایی بیشتر نسبت به سرمایهی اولیه است.
اینکه همهی پولتان را روی یک شرط بندی صرف کنید یا اینکه سهام یک شرکت نوآور حوزهی زیست فناوری را بخرید فرقی ندارد؛ در هر صورت وارد یک بازی شدهاید که همه چیز در آن به شانس بستگی دارد.
درواقع در هر دو حالت فکر میکنید آینده را بهتر از سایرین میدانید. در حالت اول، باور دارید شرکتی که روی آن سرمایهگذاری کردهاید همچنان با موفقیت به کارش ادامه خواهد داد، ارزش بیشتری پیدا خواهد کرد و علاوه بر بازگشت اصل پولتان، سود زیادی هم کسب میکنید.
اما آیا این فکر درست است؟
اینکه چند خبرنامهی تحلیلی یا گزارش سه ماهه را مطالعه میکنید چندان مهم نیست، در هر صورت هیچ تضمینی وجود ندارد که شرکت بتواند به عملکرد موفق خود در آینده ادامه دهد.
عملکرد گذشته نشانگر نتایج آینده نیست.
به کلامی دیگر، اینکه چیزی در گذشته عملکرد خوبی داشته است بدان معنا نیست که در آینده نیز بتواند موفق باشد. اختلافنظر میان اعضای هیئت مدیره، تغییر مکان، عرضهی ناموفق یک محصول جدید، گردش مالی نامناسب و هزار عامل دیگر ممکن است بر شرکتی که در آن سرمایهگذاری کردهاید تأثیر بگذارند و موجبات افت عملکرد یا شکست آن را فراهم آورند. در اینصورت ممکن است حتی اصل سرمایهتان را از دست بدهید، چه رسد به اینکه سودی هم عایدتان شود.
سالها پیش وارن بافت روی شرکت کوکاکولا سرمایهگذاری کرد. این سرمایهگذاری هنگامی صورت گرفت که بازار محصولات ورزشی به شدت رو به رشد بود و یک رقیب جدید (پپسی) نیز برای کوکاکولا آغاز به کار کرده بود. بیتردید آن زمان وارن بافت به عنوان یک سرمایهگذار گرم و سرد چشیده، چیزهایی میداند که من و شما از آن بیاطلاعیم.
او بر این باور بود که افزایش فروش تردمیلها و کفشهای ورزشی در دنیا اهمیتی ندارد، زیرا مردم هرگز حاضر نیستند از این نوشیدنی معروف و قدیمی دست بردارند. از نظر وارن بافت، میل به ورزش و تندرستی موقتی است و شرکت رقیب (یعنی پپسی) هم بالاخره به اوج فعالیتش میرسد. در نهایت بازار کوکاکولا دوباره گسترش خواهد یافت و البته سود خوبی نیز برای وارن بافت به همراه خواهد داشت.
همچنین بخوانید: آشنایی با سیستم کامل سرمایه گذاری به روش وارن بافت
پس این هم نوعی شرطبندی است!
البته تردیدی نیست که عبارت «شرطبندی» بار معنایی خوشایندی ندارد. شرطبندی اقدامی ناپسند است و در مقابل، سرمایهگذاری خوب است.
اما ریاضیات (احتمالات) میگوید این دو با هم فرقی ندارند.
هنگامیکه پولی را در بازار سرمایهگذاری میکنید، گویی با کائنات تاس میاندازید.
مشکل باور مردم است.
بسیاری از افراد قبول ندارند که خریدوفروش و سرمایهگذاری نیز نوعی بازی شانس است. اما اگر بتوانند این واقعیت را درک کنند، میتوانند تصمیمات به مراتب بهتری اتخاذ کنند.
بنابراین فعلا به بار منفی عبارت «شرطبندی» اهمیت ندهید و در مقابل ببینید چه کاری را برای چه منظوری انجام میدهید. به این ترتیب میتوانید از سایرین در بازار پیشی بگیرید.
اینکه رشد شدید بازار بورس پس از مدتی متوقف شود و بازار روندی نزولی پیدا کند، یا اینکه سهام گرانقیمت یک شرکت نتواند سود قابل توجهی به افراد بدهد، اصلا عجیب نیست. حتی اینکه سهام شرکتی مثل «تسلا» که در طی دورهی ۱۰ ساله فعالیتش هرگز سودی نداشته، ارزش بسیار بالایی دارد نیز تعجبآور نیست.
اینطور نیست که بازارها روندی منطقی داشته باشند. انسانها نیز منطقی نیستند. ما انسانها موجوداتی هیجانی، غیرمنطقی، عجیب، کودن و دیوانه هستیم و بازارها نیز صرفا بازتابدهنده ذهن میلیاردها بازیگر بیثبات در بازار هستند. بازارها مجموعهای از ترسها و آرزوهایمان را دربر میگیرند، بنابراین چرا باید از آنها انتظار داشته باشیم روندی منطقی را طی کنند؟
حضور در بازارهای مختلف به معنای حضور در طوفانی از بینظمیهای مختلف است.
پذیرش این واقعیت که شرطبندی، سرمایهگذاری و خریدوفروش همگی از یک جنس هستند، به شما یادآوری میکند که برای حضور در این طوفان یک چتر و کاپشن به همراه داشته باشید.
به جای تماشای مداوم اخبار شبکههای خبری مختلف مانند سیانان (CNN) باید به سراغ قواعد ریاضی موجود در بازیهای شانسی بروید و به بررسی احتمالات، نظریه بازیها و آمار بپردازید.
مدیریت بهتر سبد دارایی
یکی از مهمترین نکاتی که دربارهی خریدوفروش داراییها باید بدانید این است که استراتژی شما آن قدرها هم اهمیت ندارد و مدیریت ریسک به مراتب مهمتر از آن است.
شاید نحوهی ورودتان به بازار سهام و یا ارزهای دیجیتال و نوع داراییهای خریداری شده (اینکه سهام کدام شرکتها و یا کدام ارز دیجیتال را خریده باشید) به نظرتان رمز موفقیت باشد. اما این طور نیست. واقعیت این است که نحوهی ورودتان به یک بازار اهمیت زیادی ندارد و اتفاقا برعکس، نحوهی خروج و حفظ سرمایهتان است که اهمیت بیشتری دارد.
انتخاب دقیق دارایی یا شرکت برای سرمایهگذاری، آنقدر که تصور میکنید مهم نیست. به کلامی دیگر، هر قدر هم که این انتخابها را با دقت انجام دهید، باز هم ارزش سرمایهتان در برخی دورههای زمانی در بازار کاهش مییابد. به این پدیده «افت سرمایه» میگویند.
بازارها هرگز نمیتوانند به شما اطمینان دهند که درآمدتان (مانند حقوق ماهیانه) جریان باثباتی خواهد داشت. یا ضرر زیادی میکنید یا سود زیادی به دست خواهید آورد.
پای احتمالات در میان است
شکلگیری دانش احتمالات به قرن هفدهم میلادی بازمیگردد. در آن دوران یک نویسنده و قمارباز حرفهای به نام آنتونی گومبو (Antoine Gambaud) پس از مدتی پی میبرد که پیاپی با شکست روبهرو میشود و دارد پولهایی را که سالها در شرطبندیها به دست آورده است از دست میدهد. به همیندلیل به سراغ بلز پاسکال (ریاضیدان مشهور فرانسوی) میرود تا دلیل این روند را از او جویا شود. گومبو دوست داشت خودش را «شوالیه دی میر» (Chevalier de Méré) بنامد. او همیشه روی این شرط میبست که پس از تعداد مشخصی انداختن یک تاس، حداقل یک بار تک میآورد و از این طریق همیشه موفق میشد و به درآمد خوبی دست مییافت.

آنتونی گومبو
اما پس از مدتی از این روند خسته شد و طمع به دستآوردن پول بیشتری به سراغش آمد.
به همیندلیل با خود گفت اگر قاعدهی قبلی درست باشد، میتواند روی دوبرابر مبلغ قبلی با دیگران شرطبندی کند.
در کتاب «احتمالات، تصمیمات و بازی: مقدمهای کوتاه با استفاده از آر» (Probability, Decisions and Games: A Gentle Introduction by R) که توسط ابل رودریگز (Abel Rodriguez) و برونو مندز (Bruno Mendezs) نگاشته شده، آمده است که این روند طبق خواستهی گومبو پیش نرفت.
گومبو با این شیوهی جدید، پول زیادی را در شرطبندیها از دست داد.
شوالیهی ما حسابی گیج شده بود. او این گونه استنباط کرد که احتمال ۲ بار تک آوردن (منظور عدد ۱ روی تاس است) در دو بار ریختنِ تاس ۱ به ۶ (یکششم) است، همانطور که احتمال یک بار تک آوردن در یک بار ریختن تاس نیز ۱ به ۶ است. برای جبران ضعیف بودن این احتمال، باید دو تاس را شش بار ریخت. به همینترتیب برای دستیابی به احتمال یک بار تک آوردن در چهار بار پرتاب، تعداد پرتابها باید چهاربرابر (یعنی ۲۴) شود.
بررسی دلایل ریاضی مربوط به این محاسبه در این مقاله نمیگنجد. به هر حال، محاسبه نادرست گومبو برای استفاده از دو تاس و افزایش تعداد انداختن تاس سبب شد ریسک در شرطبندیهایش افزایش یابد.
درواقع یک راهبرد خوب در نهایت راهبردی بد از آب درآمد، زیرا گومبو مفاهیم ریاضی موجود در بازی را نمیدانست.
نویسنده کتاب «جادوگران بازار» (Market Wizards) از پاول تودور (Paul Tudor) که سرمایهگذاری معروف است میپرسد:
سوال: مهمترین توصیهای که به یک خریدوفروشکننده معمولی سهام است میکنید، چیست؟
پاسخ: روی کسب سود تمرکز نکنید. تمرکزتان را روی حفظ آنچه دارید قرار دهید.
پاول تودور به مدیریت سبد سهام و یا همان محافظت از داراییها در برابر ریسک اشاره دارد. مدیریت سبد سهام در واقع ترکیبی از دانش آمار و احتمالات است که بازی شانس را مورد واکاوی قرار میدهد.
وقتی کسی به شما میگوید «همه تخممرغهایت را در یک سبد نگذار!» در واقع به این نکتهی مهم اشاره دارد که برخی از حدسهایتان در این شرطبندی ممکن است در نهایت به زیانتان تمام شود. اگر بیش از اندازه ریسک کنید، زیان ناشی از آن میتواند همهی سرمایهی موجود در سبد سرمایهتان را از بین ببرد. اگر موجودی سبد سرمایهتان از بین برود، دیگر نمیتوانید به این بازی ادامه دهید و باید دستازپادرازتر به خانهی اول بازگردید.
برای درک بهتر مبانی ریاضیِ تنوعبخشی به سبد سرمایه میتوانید به این منبع که از درس «ریاضیات مقدماتی سبد سرمایه» دانشگاه نیویورک اقتباس شده است مراجعه کنید.
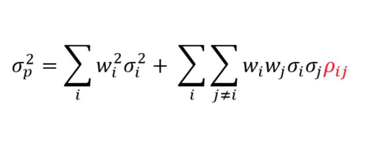
اگر علاقهای به ریاضی ندارید هم نگران نباشید. باز هم میتوانید با درک فرمولهای مربوط به احتمالات، از کلیات آن آگاه شوید. برای کسانی که فرمول دوست دارند، فرمول زیر نشانگر ارتباط سرمایهگذاری با ریسک در سبد سرمایه است:

از این فرمول میتوان نتیجهگیری کرد که داشتن داراییهای مشابه در نهایت سبب افزایش شدید ریسک میشود. اگر تعداد زیادی فلز گرانبها در سبد سرمایهتان وجود داشته باشد، ممکن است با یک دوره کاهش قیمت به شدت ضرر کنید؛ زیرا این داراییها مشابه هستند و تغییرات قیمتِ آنها با یکدیگر ارتباط دارد. اما اگر همزمان اوراق قرضه و فلزات گرانبها باشید، احتمال ضرر در آن کمتر است. چراکه این داراییها مشابه نیستند و معمولا تغییرات قیمت یکی به دیگری ارتباطی ندارد.
قرار نیست در اینجا به توضیح این فرمول بپردازم، زیرا توضیح آن نیازمند فضا و زمان زیادی است که در حوصلهی بسیاری از خوانندگان نمیگنجد. پس فعلا بیخیالِ جنبهی ریاضی قضیه شوید. آنچه مهم است اینکه:
متاسفانه بیشتر کتابهای مرتبط با خریدوفروش در بازار بورس داراییها، بیشتر روی استراتژیهای انتخابِ درست تأکید دارند و چندان به اصل قضیه یعنی کاهش ریسک ناشی از این نوع شرطبندی (که البته به اسم سرمایهگذاری شناخته میشود) نمیپردازند.
کتابهای راهنمای بورس و خریدوفروش داراییهای دیگر، این توهم را در خواننده ایجاد میکنند که میتواند عملکرد بهتری نسبت به سایرین داشته باشد و در بحرانهای مالی نیز آسیب نبیند. اما واقعیت این است که بیشتر نظامهای مالی و اقتصادی نمیتوانند در بازههای زمانی طولانیمدت دوام بیاورند. تحلیلهای فنی و بنیادی نمیتوانند درک درستی از بازار در درازمدت ایجاد کنند.
اینجاست که مدیریت سبد داراییها اولویت مییابد.
ممکن است فرمولهای مختلفی که برای مدیریت ریسک و خریدوفروش داراییها وجود دارد، شما را گیج کند. یک دارایی چه ارتباطی با انواع دیگر دارایی دارد؟ سبد داراییها چقدر باید تنوع داشته باشد و حد آن چقدر است؟ اصلا چند نوع دارایی را همزمان باید در اختیار داشته باشید؟
این کتاب میتواند در تخصیص درست و بهینهی سبد داراییها به شما کمک کند. اما پیش از اینکه این کتاب را مطالعه کنید، بیایید به بررسی شیوهای سادهتر برای کاهش ریسک بپردازیم.
انتخاب درست مبلغ
هر سرمایهگذار باتجربه و سرد و گرم چشیدهای به شما خواهد گفت که نباید بیش از ۱ تا ۲ درصد از سرمایهتان را به یک داراییِ مشخص اختصاص دهید.
این شیوه به ظاهر خوب است، زیرا حتی اگر آن دارایی ارزشش را کاملا از دست بدهد نهایت ضررتان فقط به اندازه ۱ درصد از سرمایهتان خواهد بود.
اما این شیوه نمیتواند در درازمدت سود قابلتوجهی داشته باشد و فکر نمیکنم هیچ سرمایهگذاری از این فرمول استفاده کند، هر چند که چنین روشی را به دیگران توصیه کند!
اما چرا؟
اگر فقط ۱ درصد از سرمایهتان را وارد خریدوفروش کنید، ۹۹ درصد از پولتان در گوشهای میماند. حتی اگر سرمایهگذاری موفقی داشته باشید، باز هم فرآیند تزریق سرمایهی بیشتر به آن فرآیندی طولانی است. بنابراین توصیه میشود بیش از ۴ درصد از سرمایهتان را روی یک دارایی خاص سرمایهگذاری نکنید.
اما باز هم ۹۶ درصد از سرمایهتان در گوشهای بیمصرف میماند. این عدم استفاده از بخش قابلتوجهی از سرمایه، اولین مشکل این شیوهی مدیریت ریسک است.
اگر سبدی از دهها دارایی مختلف داشته باشید، نمیتوانید به خوبی درک کنید که عملکرد هر یک چگونه بوده است و سود به دستآمده از هرکدام چهمقدار است. در این حالت، سود داراییهایی که قیمتشان افزایش یافته چندان زیاد نخواهد بود و ضرر ناشی از داراییهای افولکننده نیز اندک خواهد بود. در این میان، ممکن است قیمت یک یا دو مورد از این داراییها افزایش و یا کاهش بسیار شدید داشته باشد. اما تغییرات قیمتِ بیشتر آنها با متوسط سوددهی بازار هماهنگ است که چندان هم قابلتوجه نیست.
خلاصه اینکه با قرار دادن تعداد زیادی تخممرغ در سبدتان از ریسک موجود کاستهاید، ولی سود زیادی نیز به دست نمیآورید. ریسک پایین معمولا با سود اندک همراه است.
اما بیایید یک راه بهتر برای محاسبهی قانون ۱ درصدی بیابیم. این شیوه به ما کمک میکند بتوانیم مبلغ بیشتری از سرمایهمان را روی خریدوفروش داراییهایی مشخص سرمایهگذاری کنیم و در عین حال، سبد داراییمان را از ضررهای شدید مصون داریم.
یک درصد بهتر

حال میخواهیم مبالغ بیشتری را روی گزینههایمان سرمایهگذاری (شرطبندی) کنیم و در نهایت به سود بیشتری دست یابیم. برای این کار به الگویی برای توقف ضرردهی نیاز داریم. در مقالهای با عنوان «روش تاجران لاکپشتی برای توقف ضرر» درباره این الگو صحبت کردم. در این الگو «بازه متوسط درست» (Average True Range) یا به اختصار ATR در یک ضریب ضرب میشود. برای نمونه شاید ATRx2 داشته باشیم. این فرمول به ما میگوید که کجا باید توقف ضرر را برای هر خریدوفروش اعمال کنیم.
البته این شیوه یک سری مشکلات نیز به همراه دارد. برای نمونه، ATR معیاری برای ارزیابی شدت نوسان است و یک ارز دیجیتال ممکن است در مدتی کوتاه با نوسانی بسیار شدید روبرو شود. به اینترتیب شاید قیمت کنونی ارز دیجیتالتان با نقطهی توقف تعیین شده فاصلهی زیادی داشته باشد. برای نمونه این فاصله میتواند ۵ درصد یا ۸ درصد باشد که فاصلهی زیادی با ۱ درصد تعیین شده دارد و همین امر سبب میشود ریسکتان بیشتر شود.
برای حل این مساله چه باید کرد؟
ساده است! ابتدا باید تفاضل بین قیمت کنونی و نقطهی توقف را محاسبه کنید. در محاسبهمان از یک سری اعداد رُند استفاده میکنیم تا درک آن سادهتر باشد:
فرض کنید قیمت بیت کوین روی ۸,۰۰۰ دلار است و توقف ضرر در قیمت ۷,۷۰۰ دلار محاسبه میشود. پس تفاضل به دستآمده ۳۰۰ دلار خواهد بود.
حال که این تفاضل به دست آمد، میتوانیم نحوهی مدیریت ریسکِ ۱ درصد از کل سبد سرمایه را در یک خریدوفروش محاسبه کنیم. فرض کنید در مجموع ۱۰۰ هزار دلار سرمایه دارید که میخواهید وارد بازی کنید.
۱۰۰۰ = ۰/۰۱ × ۱۰۰،۰۰۰
در نهایت میخواهیم فقط ۱۰۰۰ دلار در یک خریدوفروش ریسک کنیم. در نتیجه باید این رقم را بر تفاضل قیمت کنونی منهّریای قیمت توقف ریسک تقسیم کنیم:
۳/۳۳ =۳۰۰ ÷ ۱۰۰۰
این نشان میدهد که حداکثر میتوانیم ۳/۳۳ بیت کوین بخریم. همچنین تعیین قیمت ۷,۷۰۰ دلار به عنوان نقطهی توقف ریسک به این معناست که اگر قیمت بیت کوین نزولی شد، در نهایت میتوانیم تا ۳۰۰ دلار ضرر کنیم. با خرید ۳/۳۳ بیت کوین، مجموع ضرری که در نهایت خواهیم داشت برابر با ۱۰۰۰ دلار یا ۱ درصد کل سرمایهمان خواهد بود.
نکتهی جذاب در استفاده از این فرمول این است که میتوانیم پول بیشتری را وارد هر بار خریدوفروش کنیم و درعینحال ریسک موجود را نیز مدیریت کنیم. برای نمونه اگر ۲۶,۶۶۶ دلار از مجموع ۱۰۰ هزار دلار سرمایهمان را وارد یک خریدوفروش کنیم، سود احتمالی بیشتری نیز در صورت افزایش قیمت بیت کوین به دست خواهیم آورد.
بیتردید، هر راهبرد مدیریت سبد سرمایه معایبی نیز دارد. افزایش احتمال دستیابی به سود بیشتر به معنای افزایش ریسک کلی خواهد بود.
در مثال قبلی دیدید که اگر ۱ درصد از کل سرمایه ۱۰۰ هزار دلاری را وارد ریسک کنیم، در واقع ۱۰۰۰ دلار از آن را وارد یک بار خریدوفروش بیت کوین میکنیم. در هر حالت امکان اینکه بیش از ۱۰۰۰ دلار ضرر کنیم وجود ندارد.
نکتهی مهم اینجاست که همه چیز به این بستگی دارد که به موقع از رسیدن قیمت به نقطهی توقف ریسک آگاه شویم. اما این امر همیشه طبق برنامه پیش نمیرود. در چند حالت ممکن است رویهای خلاف خواسته ما صورت بگیرد. میتوانید یک حد توقف ضرر را تعیین کنید. این انتخاب به شما امکان میدهد یک قیمت را به عنوان سیگنال فروش (قیمت راهانداز) و یک قیمت را به عنوان قیمتی که میخواهید بفروشید (قیمت حد توقف) تعیین کنید. همچنین میتوانید از «توقف ضرر بازار» نیز استفاده کنید. به اینترتیب دارایی مورد نظرتان در قیمت مورد نظر به فروش میرسد. هر کدام از این شیوهها یک سری مزایا و معایب دارند و البته ممکن است در نهایت به ضررتان تمام شوند. در این میان، شیوهی توقف ضرر بازار در خریدوفروش ارزهای دیجیتال میتواند ضربهای مهلک به شما وارد کند.
بازار خریدوفروش ارزهای دیجیتال برخلاف بسیاری از بازارهای دیگر هنوز نتوانسته است به ابزارهای حفاظتی معمول دست یابد. برای نمونه در چند سال اخیر شاهد افت و صعود بسیار ناگهانی قیمت ارزهای دیجیتال بودهایم. برای نمونه با عرضهی مقدارِ زیادی از ارز دیجیتال توسط یک نهنگ (صاحب مقدار زیادی ارز دیجیتال) به بازار شاهد افت ناگهانی و سپس جبران ناگهانی این افت بودهایم. همچنین وجود مشکل فنی در کدهای یک صرافی نیز دیگر از مشکلاتی است که تاکنون چندین بار روی داده است. اجرای توقف ضررِ بازار در این کمینههای قیمتی میتواند ضرری به مراتب بیشتر از ۱ درصد برایتان به همراه آورد.
در ادامه بخوانید: بررسی تحلیل تکنیکال و سه راه کسب سود در حوزه ارزهای دیجیتال !

مدیریت حد توقف (stop limit) سادهتر است، اما تعیین درست آن پیچیدگیهای بیشتری دارد. در حد توقف میتوانید دو عدد متفاوت را برای قیمت راهانداز و قیمت توقف درنظر بگیرید. مثلا میتوانید قیمت راهانداز را ۷,۷۲۵ دلار و قیمت توقف را ۷,۷۰۰ دلار انتخاب کنید. این بدان معناست که اگر قیمت بازار به ۷,۷۲۵ دلار برسد، خودبهخود به سفارش فروش ۷,۷۰۰ دلار وارد خواهید شد که احتمالا رضایت بیشتری از آن خواهید داشت، چرا که این قیمت از قیمت فعلی پایینتر است و به نفع شما خواهد بود.
اما باز هم هیچ تضمینی وجود ندارد.
اگر قیمت توقف را نادرست انتخاب کنید، ممکن است یک روز از خواب بیدار شوید و ببینید که قیمت با شیب بسیار تندی به سوی حد توقفی که انتخاب کرده بودید رفته است و بنابراین از پولی که روی آن ریسک کردید ۱۵% ضرر کردهاید. با راهبردی که از آن صحبت کردیم، از قبل تعیین کردیم که این مقدار ممکن است ۵ تا ۸ درصد (یا بدتر) از سبد دارایی شما را به خودش اختصاص دهد و مسلما همین ۸٪ نیز خسارت بزرگی به شمار میرود.
هر راهبرد جدی که برای سبد دارایی در پیش میگیرید، باید احتمال اینکه توقف ضرر (stop loss) گاهی ممکن است شکست بخورد را در نظر بگیرد. میتوانید از تحلیل مونتکارلو استفاده کنید، این تحلیل به شما میگوید که چقدر احتمال دارد سبد داراییتان به طورکامل نابود شود. در اینجا وارد مبحث ریاضی آن نمیشویم، اما شما میتوانید در صورت تمایل به کتابهایی مانند ایجاد سیستمهای معاملات الگوریتمی موفق: راهنمای یک معاملهگر از استخراج دادهها تا شبیهسازی مونت کارلو برای دوام آوردن در تجارت نوشتهی کوین جی. دیوی (Kevin J. Davey) مراجعه کنید.
انواع راهبرد مختلف برای مدیریت سبد دارایی و مدیریت ریسک وجود دارد. هر چه زودتر آنها را مطالعه کنید و مهارتهای خریدوفروش در بازار را در خودتان تقویت کنید.
نیازی به انتخاب راهبردهای متعدد نیست. فقط یکی را درنظر بگیرید، با همان ادامه دهید و هرگز از مسیرتان منحرف نشوید.
حال بیایید به یکی دیگر از روشهایی که میتواند برای موفقیت در یک بازار نابسامان نوسانی به شما کمک کند نگاهی بیندازیم.
از تکنیک «موفقیتهای کوچک» استفاده کنید
این تکینک که ریزهخواری (Scalping) نامیده میشود، فرایندی است که در آن یک معاملهگر به موفقیتهای کوچک و سودهای جزئی در بازارهای پرنوسان بسنده میکند. روشهای زیادی برای انجام این کار وجود دارد، اما من میخواهم روشی ساده را به شما نشان بدهم که شاید به نظرتان کاملا عجیب بیاید.
شیر یا خط بیندازید!
کاملا درست است. ما میخواهیم نحوهی ورودمان به بازار را حدس بزنیم. کوتاهمدت یا بلندمدت بودن آن کاملا تصادفی خواهد بود.
شاید با خودتان فکر کنید راهبرد انتخابی شما بسیار فراتر از شانس تصادفی است، اما باور کنید راهبردهای تصادفی معمولا در رقابتهای راهبردی سهام واقعا خوب عمل میکنند.
شاید به نظر شما استفاده از چنین راهبردی بیشتر به شوخی شباهت داشته باشد، اما اگر اینطور نباشد چه؟
در سال ۱۹۷۳ پروفسور برتون مالکیل استاد دانشگاه پرینستون در کتابش به نام گشت تصادفی در وال استریت (A Random Walk Down Wall Street) ادعا کرد:
سبد سهامی که یک میمون با چشم بسته و با پرتاب دارت به سوی صفحات مربوط به امور مالی یک روزنامه انتخاب میکند، میتواند به خوبیِ همان سهامی باشد که کارشناسان انتخاب کردهاند.

برتون مالکیل
راب آرنوت (مدیر عامل Research Affiliates) در کنفرانس اوایل ماه جاری در IMN Global Indexing and ETFs گفت:
مالکیل اشتباه میکرد، میمونها انتخاب بسیار بهتری نسبت به کارشناسان و نیز بازار سهام انجام میدهند!
بنابراین بیایید راهبرد «شیر یا خط» خودمان را با جدیت بهعنوان روشی برای کسب موفقیتها و سودهای جزئی (ریزهخواری) در این بازار پرنوسان امتحان کنیم و ببینیم واقعا چرا عملکرد خوبی دارد.
یک معامله فقط دو حالت میتواند داشته باشد: یا به نفع شما خواهد بود یا به ضرر شما. در این حالت، همه چیز ۵۰/۵۰ است.
این بدان معناست که اگر هر چیز دیگری مانند اخبار، میانگینهای متحرکِ نمایی، انواع شاخصها، دینامیک سیالات و حتی چرخهی جزر و مد اقیانوس را نادیده بگیرید و کافی است فقط یک سکه پرتاب کنید. این انتخاب حالا یا به نفعتان میشود یا به ضررتان.
البته این درست است که فقط ۵۰٪ امکان باخت وجود دارد. شاید در این حالت تعداد بردها با تعداد باختها برابر باشد، اما این شیوه در دنیای واقعی اینطور نیست!
در هر دوره خرید و فروش، تعدادی از معاملات یا کاملا به نفعمان پیش میروند یا واقعا به ضررمان هستند. دوباره به منحنی توزیع فکر کنید. بیشتر معاملات به طور متوسط برای ما سود یا ضرر به همراه دارند (مثلا به اندازهی ۶۸/۲٪ از معامله). اما در برخی از آنها با سود بسیار زیاد یا ضرر بیش از حد مواجه خواهیم شد. در جریان معاملات ممکن است گاهی کاملا خوششانس باشیم و موفقیتهای پیاپی کسب کنیم، گاهی هم ممکن است با بدشانسی شکستهای متوالی را تجربه کنیم که ما را حتی تا مرز نابودی پیش ببرد.
بیایید به کتاب «احتمالات، تصمیمات و بازی: مقدمهای کوتاه با استفاده از آر» برگردیم و نموداری را که در آن یک سکه ۵۰۰۰ بار پرتاب میشود بررسی کنیم. با گذشت زمان، تعداد پرتابهای سکه بیشتر میشود و بنابراین احتمال آمدن شیر یا خط باید به سوی میانگین ۵۰٪ میل کند؛ اما در کوتاهمدت ممکن است این اتفاق رخ ندهد و احتمال آمدن یکی بیشتر از دیگری شود. توجه کنید که چگونه در یک دورهی طولانیمدت نوسان آن کمتر میشود تا به خط میانگین برسد.
این بدان معناست که در کوتاهمدت یا حتی بلندمدت با ناکامیهایی نیز روبهرو خواهیم شد. این ناکامیها ممکن است حتی قبل از اینکه به خط میانگین برگردیم نابودمان کنند.
اما چه میشد اگر میتوانستیم در حالیکه از دورههای صعودی سود میبریم، بتوانیم دورههای نزولی را مدیریت کنیم؟
میتوانیم این کار را با تعیین توقف ضرر انجام بدهیم. بیایید به راهبرد تعیین «توقف ضرر ۱ درصدی» برگردیم.
حالا هربار که سکه را پرتاب میکنیم، توقف ضرر را روی ۱% قرار میدهیم. فرض کنیم یک معامله به ضررمان است. در صورتیکه از نقطهی توقفی که درنظر گرفتهایم عبور نکنیم، فقط ۱% ضرر را تجربه خواهیم کرد.
اما برای دورهی صعودی چطور؟
اینجاست که همهچیز جالب میشود.
در کنار راهبرد پرتاب سکهمان میتوانیم از روشهای متعدد دیگری هم استفاده کنیم.
میتوانیم با انجام تجزیه و تحلیلهایی روی ارزهای مختلف، پرنوسانترین آنها را پیدا کنیم و بررسی کنیم که در هر روز به چه اندازه از نقطهی میانگین فاصله میگیرند. ما میتوانیم از این بیثباتی به نفع خودمان استفاده کنیم. مثلا اگر تشخیص دهیم که بیت کوین هر روز ۴٪ از نقطهی میانگین بالاتر یا پایینتر میرود، راحتتر میتوانیم راهبرد خروجمان را انتخاب کنیم.
میتوانید این معامله را هر روز ببندید یا صبر کنید تا به سود ۴ درصدی برسید. حتی میتوانید اجازه دهید معامله هر طور هست پیش برود و هر روز نقطهی توقف ضرر را تغییر دهید و بالاتر ببرید تا اطمینان حاصل کنید که معامله همچنان سودآور است.
میتوانستید اصلا سکه هم پرتاب نکنید و به جای آن کاشف به عمل آورید که آیا قیمتها طی هفتهی گذشته افزایش داشتهاند، کاهش یافتهاند یا بررسی کنید که چند روز در نزدیکیِ نقطهی میانگین بودهاند. سپس هربار شرطبندیهای کوتاهمدت یا بلندمدت برای هفتهی بعد انجام دهید.
به جز این، میتوانیم از مدیریت ریسک بهشکل مطلوبتری برای محافظت از پولمان استفاده کنیم. بیایید ببینیم چگونه میتوانیم این کار را انجام بدهیم.

اینکه میگوییم در پرتاب سکه احتمال آمدنِ شیر یا خط ۵۰% است، بدان معنا نیست که همیشه به همین منوال خواهد بود. ممکن است در یک روز، یک هفته، یک ماه یا حتی یک سال ۵ یا ۱۰ بار پشت سرهم شیر بیاید. حتی ممکن است ۱۰ معامله به ضرر ما تمام شود، ۲ تا عالی پیش برود و دوباره ۱۰ معامله به ضررمان شود.
با توجه به مثال بالا فرض کنیم در دو معاملهای که خوب پیش رفته است ۱۰% سود کردهایم و روی هر معامله که به ضرر ما پیش رفته است ۱% ضرر کردهایم. بنابراین به طورکلی در ۲۰ معامله که به ضررمان بود، ۲۰% ضرر کردهایم. حال اگر ۱۰% سود را از ۲۰% ضرر کسر کنیم، ۱۰% ضرر خالص داریم. با چنین نتیجهای، دور از انتظار نخواهد بود که به زودی از دور خارج شوید. به ویژه اگر بدشانسی آورده باشید و به جای ۱۰% سود، فقط ۳% سود عایدتان شده باشد.
اما ما میتوانیم با کاهش مقدار ریسک در هر معامله که به ضررمان پیش میرود از پولمان محافظت کنیم.
برای نمونه، بیایید حالتی را فرض کنیم که با یک سلسله بدشانسی روبهرو شویم و سه معامله پشتهم به ضررمان تمام شود. برای اینکه کمی از شدت خسارتی که میبینیم بکاهیم، توقف ضرر را روی هر معامله کمتر از ۱% در نظر میگیریم (مثلا ۰/۰۰۷۵%). این کاهش را آنقدر ادامه میدهیم تا معاملات به روال عادی برگردند و دوباره میتوانیم توقف ضرر را روی ۱% تنظیم کنیم. حتی میتوانیم هنگامیکه روند معاملات به شکل مطلوب پیش میرود کمی ریسکمان را افزایش دهیم تا مگر سود بیشتری به دست آوریم.
همهی این راهبردها خواه پرتاب یک سکه باشد خواه محاسبهی دقیق احتمالات، استفاده از الگوریتمهای پیشرفته و مطالعهی دقیق روند معاملات، در هر صورت از شما یک قمارباز حرفهای در بازار خواهد ساخت.
مهم نیست از کدام راهبرد استفاده میکنید، در هر صورت دانش احتمال مهارتتان را در اینکار تقویت خواهد کرد.
دردسرهای کار

همه دوست دارند فکر کنند سرمایهگذاری پول در بازار اخلاقیتر از قمار است و اعتیاد به قمار کاری ناپسند است. البته از یک نظر این درست است.
اعتیاد به قمار میتواند یک زندگی را نابود کند و واقعا نوعی بیماری است. این درست است، اما این امر حقیقتِ ماجرا را تغییر نمیدهد. در واقع، بنیان ریاضیِ بازی با تاس و سرمایهگذاری در بازار بسیار شبیه بههم هستند. فقط خودتان میدانید که تا چه حد در برابر بازی در بازار یا شرطبندیِ مداوم خویشتندار هستید.
هیچکس شبیه دیگری نیست.
خودِ من شخصا از اینکه بهدلیل جوگیری و احساسات شدید پولم را ببازم، نفرت دارم. من هرگز بیشتر از ۲۰ دلار در شرطبندی نباختهام، زیرا دوست ندارم با پولم در چنین کاری ریسک کنم. اما از اینکه در بازار سرمایهگذاری کنم مشکلی ندارم.
قمار و سرمایهگذاری فقط در سطح بیرونی با یکدیگر تفاوت دارند. اما دانش احتمال که بنیان هر دو را تشکیل میدهد دقیقا یکسان است.
اگر من دانش احتمالات و بازیها را مطالعه میکنم، به این دلیل نیست که میخواهم به یک قمارباز تبدیل شوم، بلکه میخواهم از احتمالات به نفع خودم استفاده کنم.
آنچه در این حرفه به شما کمک میکند، این است که واقعیت را همانگونه که هست بپذیرید. پذیرش واقعیات با اتخاذ تصمیمات نادرست متفاوت است.
اگر با دقت کتابی مانند ریاضیاتِ بازیها و شرطبندی (The Mathematics of Games and Gambling) را که توسط ادوارد پاکل (Edward Packel) نگاشته شده است بخوانید، درمییابید که برخی بازیها از برخی دیگر بسیار بدتر هستند (البته گر بخواهید به بنیان ریاضی آنها خوب دقت کنید). همهی انواع بازیهای قمار (از اسلات تا بلکجک) شما را عمدا فریب میدهند.
اما دربارهی پوکر چطور؟
این بازی به طورکامل در دستهی جداگانهای قرار میگیرد؛ زیرا با وجود اینکه یک بازی کاملا شانسی است، تا حدودی به بازیکن نیز بستگی دارد. دلیلش این است که شما حتی هنگامیکه کارتها به ضررتان هستند، باز هم میتوانید بلوف بزنید. به همیندلیل است که این بازی گاهی خارج از حالت تصادفی قرار میگیرد و در مقایسه با سایر بازیها برای شما مزایایی به همراه دارد.
همین امر دربارهی بازی بازارها نیز صدق میکند.
روند کلی حرکت بازارها در طول زمان، رو به جلو و به سمتِ افزایش قیمتها است. همچنین یک جنبهی کاملا انسانی از امیدها، رویاها و تمایلات ما وجود دارد که در چیزی که آن را دادوستد مینامیم نمود مییابد. این همان ویژگی است که آن را از بازی تاس متمایز میکند.
البته این تمایز چندان هم پررنگ نیست.
بازار را هنوز هم میتوان نوعی بازی به حساب آورد.
هر چیزی که در بازار هست در بازی هم هست. برنده، بازنده، خوششانسی، مهارت، بدبیاری و هر چیزی که به معامله مربوط است.
اگر توهماتتان را دور بریزید، موفقیت در بازار معاملات میسر خواهد شد. همیشه وانمود کنید که برای پیروزی شانس دارید و همهچیز به نفع شما پیش میرود.
هر چه سریعتر این واقعیت را درک کنید، سریعتر به موفقیت در والاستریت نزدیک خواهید شد.
بهروزرسانی
شاید خیلیها با من موافق نباشند که بازارها مانند یک بازی با مجموع صفر هستند. این افراد آن را بازی با مجموع مثبت مینامند. دلیلش این است که افراد/شرکتها با ورود به بازار اندازهی آن را بزرگتر میکنند، سبب رشد اقتصاد میشوند و هیچکس با خرید سهام جدید، چیزی از دست نمیدهد (حداقل تا زمانیکه آنها را به فروش نرساند یا معامله نکند، که به آن بازی با مجموع صفرِ بهتعویق افتاده یا نامتقارن میگویند که اساسا هیئت مدیره را به عنوان یکی از فعالان اضافه میکند).
با این حال:
۱- این هیچ یک از نکات دیگری را که متذکر شدهام تغییر نمیدهد.
۲- حتی اگر اندازهی بازار در حال رشد است، اینکه آن را مجموع صفر مثبت یا مجموع صفر دائمی بنامیم فقط بازی با کلمات است. در نهایت این بازی در هر روز و برای کل اندازهی بازار به مجموع صفر میرسد، حتی اگر به تعویق بیفتد یا عدم تقارن در آن صورت بگیرد.
۳- هرگز به چیزی که توضیح دادم صد درصد اکتفا نکنید. خودتان هم تحقیق و بررسی کنید.
سلب مسئولیت: فکر میکنم به اندازهی کافی بالغ هستید. خودتان باید تصمیم بگیرید پولی را که با زحمت به دست میآورید کجا سرمایهگذاری کنید. من یک مشاور مالی نیستم و این مقاله هم قرار نیست دربارهی امور مالی به شما توصیههایی ارائه دهد. اما اگر واقعا قرار است چیزی به شما بگویم این است که بهتر است پولتان را زیر تشکتان قرار دهید! زیرا اگر پولی از دست بدهید دیگران را به خاطر اشتباهاتتان سرزنش خواهید کرد نه خودتان را.









لطفا در صورت مشاهده دیدگاههای حاوی توهین و فحاشی یا خلاف عرف جامعه با گزارش سریع آنها، به ما در حفظ سلامت بستر ارتباطی کاربران کمک کنید.